Подпишись

Исследователи описывают, как биотопливо может достичь ценового паритета с нефтяным топливом

Биотопливо является важной частью большой стратегии по замене бензина, дизельного топлива и топлива для реактивных двигателей, которые мы используем сегодня. Однако до сих пор биотопливо не достигло ценового паритета с обычным нефтяным топливом.

Исследователи описывают, как биотопливо может достичь ценового паритета с нефтяным топливом

Одна из стратегий повышения конкурентоспособности биотоплива заключается в том, чтобы заставить растения выполнять часть работ самостоятельно. Ученые могут вывести растения для производства ценных химических соединений или биопродуктов по мере их роста. Затем биопродукты могут быть извлечены из растений, а оставшийся растительный материал может быть переработан в топливо. Когда биопродукты производятся самими растениями, они могут помочь снизить стоимость получаемого биотоплива.

Цена биотоплива

Но одна из важных частей этой стратегии остается неясной - сколько именно биопродуктов нужно будет производить растениям, чтобы сделать этот процесс экономически целесообразным?

Подписывайтесь на наш youtube канал!

Теперь исследователи из Национальной лаборатории Лоуренса Беркли при Министерстве энергетики (Berkeley Lab) и Объединенного института биоэнергетики при Министерстве энергетики (JBEI), которым руководит Berkeley Lab, дали первое определение этой стратегии. Их исследование, проведенное совместно Корин Скаун и Патриком Ши, было недавно опубликовано в журнале Proceedings of the National Academy of Sciences (Труды Национальной академии наук).

Исследователи описывают, как биотопливо может достичь ценового паритета с нефтяным топливом

Сначала исследователи собрали информацию о группе хорошо изученных биопродуктов, которые растения уже могут эффективно производить - от ароматов и ароматизаторов до биоразлагаемого пластика. Изготовление ценного биопродукта поможет компенсировать затраты на производство биотоплива и удешевить весь процесс.

"Это действительно элегантное решение - иметь возможность создания культуры для непосредственного накопления ценного биопродукта", - говорит Скаун (Scown), научный сотрудник JBEI и отдела энергетических технологий Berkeley Lab.

Затем они спроектировали и смоделировали, что потребуется для извлечения этих биопродуктов из растительного материала в контексте биофабрики по производству этанола. В этой ситуации ценные биопродукты будут извлекаться из растений, а оставшийся растительный материал будет преобразовываться в этанол.

Это помогло им ответить на два важных вопроса: какое количество биопродукта растению необходимо произвести для того, чтобы процесс его извлечения имел смысл, и какое количество нужно сделать, чтобы выйти на целевую продажу этанола по цене 2,50 доллара за галлон.

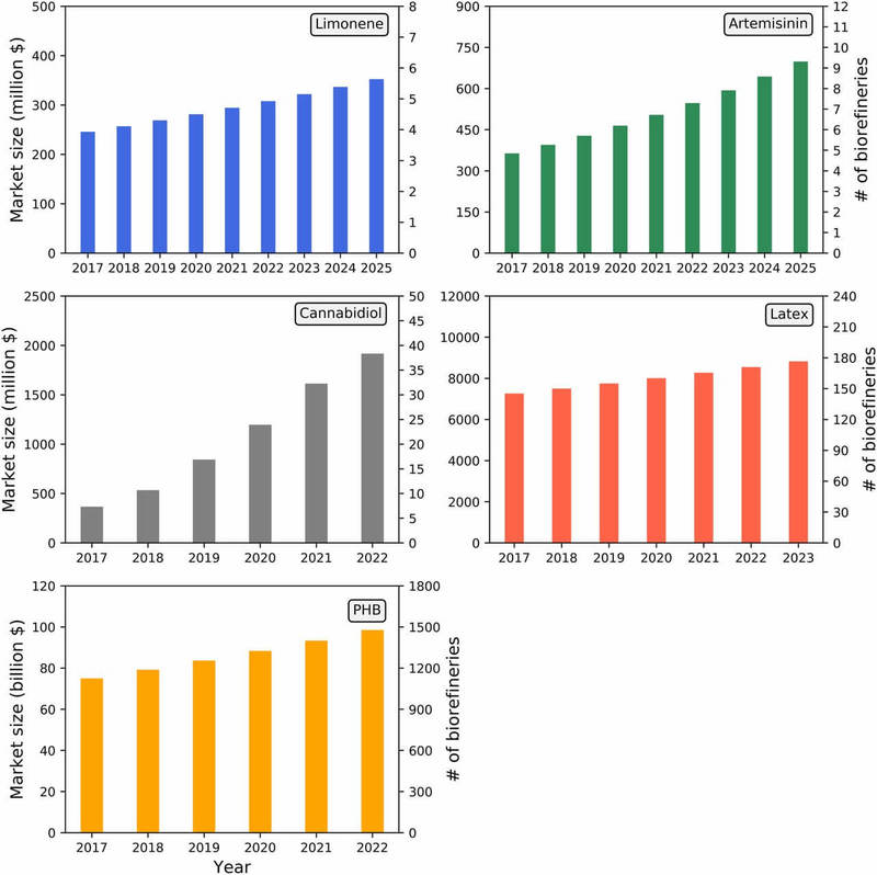
К их удивлению, результаты показали, что количество, которое необходимо произвести растениям, на самом деле вполне реально. Например, они подсчитали, что при накоплении 0,6% сухого веса биомассы, такое соединение, как лимонен, используемый во вкусовых добавках и ароматизаторах, принесет чистую экономическую выгоду биотопливным заводам. Другими словами, если они могут собрать 10 тонн биомассы сорго с одного акра земли, то им необходимо извлечь только 59 кг лимонена из этой биомассы.

"Исследователи нашего подразделения по сырьевым материалам были удивлены тем, насколько скромными были целевые уровни", - сказал Скаун. "Уровни, которые необходимо накапливать растениям, чтобы компенсировать затраты на восстановление биопродуктов и снизить цены на биотопливо, вполне достижимы".

Их результаты показывают, что такая стратегия снижения стоимости биотоплива осуществима, но ученые не должны класть все яйца в одну корзину, так как рынок для каждого дорогостоящего продукта ограничен в размерах. Их анализ показывает, что только пять коммерческих биотопливных культур могут поддержать весь прогнозируемый к 2025 году рыночный спрос на лимонен. Скаун заявил, что сельскохозяйственные культуры должны быть спроектированы для производства широкого ассортимента продукции, чтобы убедиться, что отрасль диверсифицирована и рынок не затоплен ни для одного продукта.

"С технико-экономическими моделями, это исследование дает новое понимание роли биопродуктов в улучшении экономики биопереработчиков," сказал Минлианг Янг, исследователь в JBEI и ведущий автор исследования.

Скаун сказал, что самое большое достижение заключается в том, что исследование предлагает первую количественную основу для фактической реализации этой стратегии экономии средств, обеспечивая исходную точку для ученых, которые пытаются проектировать или создавать ростения, которые создают биопродукты самостоятельно и компенсируют затраты на производство биотоплива в результате.

"Я думаю, что это исследование является лишь первым шагом к демонстрации будущего потенциала разработанных биоэнергетических сырьевых культур", - сказал Ши (Shih), директор по проектированию биосистем растений в JBEI. "Я полагаю, что наши результаты помогут мотивировать будущие усилия, направленные на то, чтобы сделать экономически выгодное биотопливо".опубликовано econet.ru по материалам phys.org

Подписывайтесь на наш канал Яндекс Дзен!

P.S. И помните, всего лишь изменяя свое потребление - мы вместе изменяем мир! © econet

Источник: https://econet.ua/

Понравилась статья? Напишите свое мнение в комментариях.
Подпишитесь на наш ФБ:
, чтобы видеть ЛУЧШИЕ материалы у себя в ленте!
Комментарии (Всего: 0)

    Добавить комментарий

    Представление, которое мы давно составили о человеке, закрывает нам глаза и затыкает уши. Марсель Пруст
    Что-то интересное